吴高建副教授课题组在复合材料磁电效应研究中取得进展
阅读次数: 发布时间:2021-05-27与单相磁电材料相比,由压电和磁致伸缩材料组成的复合结构具有较强的常温磁电效应,在磁场和电流传感器、存储器、能量收集、传感器等方面具有潜在的应用,受到人们的广泛关注。为进一步提高复合材料中的磁电效应,满足实际应用需要,一般要从以下几个方面对器件设计加以改进:改进界面耦合方式;实现较弱甚至零偏置磁场,以满足器件的小型化和集成化;克服退磁因子的影响等。
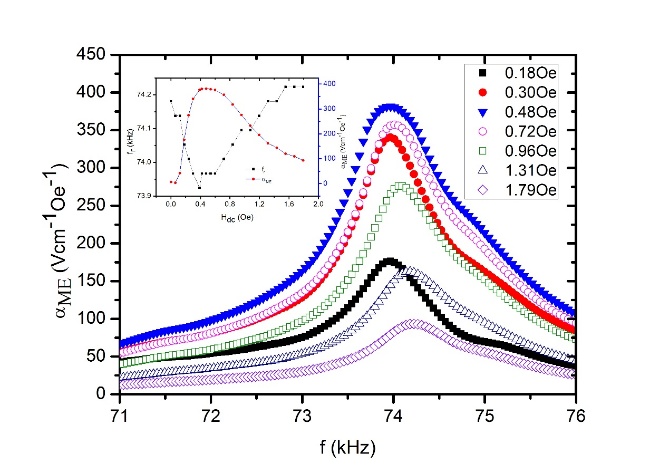
最近,吴高建副教授课题组设计了一种同时外加切向直流偏置和交流磁场PZT/Mn-Zn铁氧体圆柱复合结构,其中压电相和铁氧体相通过法向应力耦合,提高了界面耦合效率,切向偏置克服了退磁因子的影响。相比于常用的巨磁致伸缩材料Terfenol-D, Mn-Zn铁氧体虽然磁致伸缩系数较低,但是较低的柔顺系数抵消了这一影响。实验表明,在较低偏置场HDC=0.40Oe条件下,非谐振频率下时可获得高达1Vcm-1Oe-1的磁电电压系数,在激励频率为73.9kHz谐振频率时的磁电电压系数达到381Vcm-1Oe-1,这一结果均优于以往报道的实验结果。基于弹性力学方法建立的理论模型与实验结果符合得很好。巨磁电效应和低成本使PZT/Mn-Zn铁氧圆柱形复合结构在涡旋磁场传感器和能量转换器上具有广阔的应用前景。

图1 设计的PZT/Mn-Zn-ferrite圆柱环状复合结构及三种测试模式

图2 不同较弱偏置磁场条件下测得的磁电系数频率响应曲线
相关工作以“Giant circumferential magnetoelectric effect in Pb(Zr,Ti)O3/Mn-Zn-ferrite cylindrical composite”为题发表在Sensors and actuators A: physical [2021, https://doi.org/10.1016/j.sna.2021.112845]。吴高建副教授为该文的第一作者和通讯作者,张茹副教授对实验设计和理论分析做出了重要贡献,为论文的第二作者。
为进一步提高复合材料的磁电效应,人们提出了一种由压电悬臂梁和尖端锰锌铁氧体构成的新型复合结构,其中高磁导率铁氧体在外加较弱交流磁场下产生较强磁力,驱动压电片弯曲振动,从而得到巨磁电效应。针对这一结构,吴高建副教授课题组基于弹性力学方法以及材料本构方程,提出了完整的描述其中磁力磁电效应的理论模型,并讨论各种材料参数和结构参数对磁电效应的影响。该理论模型与实验结果符合得很好,可为磁力磁电效应器件的设计提供理论指导。


图3 磁力磁电效应理论模型与实验结果的比较
图4 磁隙大小对磁力磁电效应的影响
相关工作以“Theory of magnetic force driven magnetoelectric effect in piezo-bimorph/ferrite cantilever composite”为题发表于AIP Advances [2021,11:045113 ,https://doi.org/10.1063/5.0041753]。吴高建副教授为该文的第一作者和通讯作者,张茹副教授为第二作者。
