朱杰君副教授在Physical Review B报道关于本征磁性拓扑绝缘体Sn掺杂的MnBi2Te4的重要工作
阅读次数: 发布时间:2021-05-26拓扑材料主要引入拓扑的概念对物质体系进行全新的分类。1980年,马普所的von Klitzing发现了量子霍尔效应,在高场的情况下,样品的霍尔电阻会出现一系列的平台。时隔两年,Thouless等人用拓扑不变量的概念成功的对其进行解释。随后,量子自旋霍尔效应,量子反常霍尔效应相继被预言和证实。拓扑材料从拓扑绝缘体预言被发现以来,拓扑物理学依托材料获得了充足的发展,对晶体能带和输运的测量推动了拓扑领域的进步。
然而,拓扑材料目前只集中在非磁性材料体系,将磁性与拓扑相结合能够实现更多有趣的物理现象。2013年,清华大学的薛其坤院士在Cr掺杂的(Bi,Sb)2Te3中成功实现了量子反常霍尔效应。但因为外部掺杂的Cr引入了磁性,样品整体的均匀性不高,使得量子反常霍尔效应的观测温度极低,极大的限制这一体系在未来实际生活中的应用。近两年来,本征磁性拓扑绝缘体体系MnBi2Te4被预言和证实,不同于以往材料,该样品的磁性来源于自身内部的Mn原子,无需外部磁性的引入。多个研究课题组也在其材料体系中观测到了量子反常霍尔效应,Axion绝缘体态等。但目前本征磁性拓扑绝缘体的预言还相当匮乏,MnBi2Te4材料体系的磁性和载流子浓度很难得到很好的调控,需要更多的相关材料。
近期,物理系朱杰君副教授和南京大学的宋凤麒课题组合作,在MnBi2Te4样品体系里面通过Sn元素的掺杂成功的同时调控了样品的磁性和载流子浓度,相关工作以Magnetic and electrical transport study of the antiferromagnetic topological insulator Sn-doped MnBi2Te4为题发表在了今年4月份的Physical Review B上面(Physical Review B103, 144407 (2021))。朱杰君副教授为论文的第一作者和通讯作者。
本研究采用助溶剂的方法,成功生长得到了四种比例的Sn-MnBi2Te4样品,通过X射线衍射仪(XRD)和能量分布谱(EDS)可以证明晶体的质量非常高。通过综合物性测量系统PPMS对样品进行了一系列的磁性和输运的测量。

图1. Sn-MnBi2Te4晶体生长和材料表征
首先磁性测量方面用的是PPMS的VSM选件,研究发现样品的反铁磁性随着Sn掺杂浓度的升高出现了明显的下降趋势。最后,在最高掺杂浓度66%的时候,反铁磁性基本消失,说明剩余的Mn原子已经不足以形成长程的反铁磁序。Sn非磁性原子成功的对MnBi2Te4的磁性产生了调控。

图2.Sn-MnBi2Te4的磁性研究
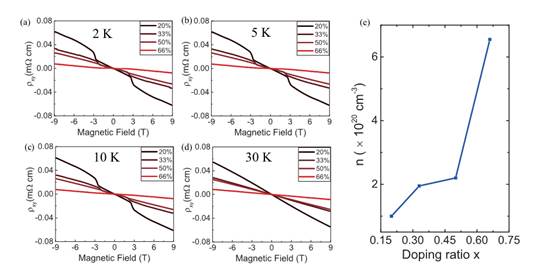
随着掺杂浓度的上升载流子浓度的变化,可以发现随着Sn元素的增加,样品的载流子浓度有所提升,从1×1020上升到了6.5×1020cm-3,证明了样品的费米能级发生了明显的移动。磁性和输运测量都说明了Sn对MnBi2Te4材料体系的影响,值得注意的是Sn的掺杂降低MnBi2Te4样品本身的反铁磁到铁磁的转变需要的磁场,为以后进一步的实现更低磁场的Chern绝缘体态做了铺垫。

图3.Sn-MnBi2Te4的电输运研究
目前本征磁性拓扑绝缘体材料还是相对比较匮乏,更多相关方面的材料对于这方面的研究至关重要,通过掺杂的方式调控磁性和载流子浓度可以为以后更低磁场的Chern绝缘体态甚至是零场QAHE做了重要的铺垫。
论文链接:
https://journals.aps.org/prb/abstract/10.1103/PhysRevB.103.144407
